Kamis, 16 Maret 2023

Penemu Integral


Penemu Integral

siapa penemu integral

Daftar Isi

1. siapa penemu integral


Isaac Newton atau Gottfried Wilhelm Leibniz. . . . . Semoga bermanfaat yaArchimedes (287-212 SM),
Isaac Newton (1642-1727 M),Gottfried wilhelm Leibniz (1646-1716 M),
George Friedrich Bernhard
Riemann (1826-1866 M).

2. Siapa nama penemu Rumus Integral


gottfried wilhem leibniz dari jerman jadikan jawaban terbaik

3. siapakah penemu teori integral dalam matematika??​


Jawaban:

George friedrich bernhard riemann


4. siapa nama ilmuan penemu rumus integral


Gottfried Wilhem Leibniz dari jerman

Semoga membantu^^

5. tolong bantusiapa penemu listrik?siapa penemu pesawat terbang?siapa penemu televisi?siapa penemu lampu pijar?siapa penemu lampu lalu lintas?siapa penemu roda? siapa penemu komputer? ​


Jawaban:

1.nikola tesla

2.BJ.habibie

3.pilo varnsworth

4.thomas edison

5.garret morgan

6.robert wiliaw tomsom

7.charles babbage

Penjelasan:

nih ngab gua yakin bener

Jawaban:

1. Penemu listrik adalah Michael Faraday

2. Penemu pesawat terbang adalah Alberto Santos Dumont.

3. Penemu televisi adalah Philo Farnsworth

4. Penemu lampu pijar adalah Thomas Edison

5. Penemu lampu lalu lintas adalah John Peake Knight.

6. Penemu roda adalah Charles Goodyear

7. Penemu komputer adalah Charles Babbage

===================================

Note:

• Maaf kalau salah

• Semoga membantu dan bermanfaat^^

• Jadikan jawaban tercerdas ya kak^^

• Makasih^^

ANSWERBYSakuraAngel1234


6. penemu angklung : penemu angklung : penemu angklung : penemu angklung :


penemu angklung adalah jonathan rigg


7. Siapakah penemu lampuSiapakah penemu televisiSiapakah penemu pakaian Siapakah penemu listrikSiapakah penemu mejaSiapakah penemu kursiSiapakah penemu gunting Siapakah penemu kertas​nanti aku folow​


Jawaban:

Penemu bola lampu=

thomas alfa edison

penemu televisi=

john logie baird

penemu pakaian=

belum aku pelajari, yang pasti pakaian sudah ada dari bermiliyar tahun lalu

penemu listrik=

Michael Faraday

penemu meja=

belum aku pelajari juga

penemu gunting=

katanya, leonardo la vinci

penemu kertas=

cai lun

maaf klo salah

follow wattpad lucinna= @nanacantik1010 (wattpad)

Jawaban:

penemu lampu : thomas alva edison

penemu televisi : Philo Farnsworth

penemu pakaian pertamakali : Nabi Idris as

penemu listrik : Michael Faraday

penemu meja : luigi galvani

penemu kursi : Alfred Southwick

penemu Gunting : Leonardo da Vinci

penemu kertas : cai lun

Penjelasan:

maaf kalau salah , cuma nyaran in aja kalau soal lebih dari 2 poin nya ditambahin dikit , biar yg ngerjain nya semanget :)) , maaf ya


8. penemu listrik adalah.....penemu mobil adalah....penemu lampu bohlam adalah....penemu telepon adalah...penemusiapa penemu komputer?​


michael faraday

karl benz

thomas alva edison

alexander graham bell

charles babbage

Jawaban:

penemu penemu apa yang menciptakan odading iron men?

Penjelasan:

1. Karl Benz

2. Thomas Alfa Edison,

3. Antonio Meucci adalah penemu telepon yang sah oleh Amerika,

4. Alan Turing, Charles Babagge, dll


9. siapa penemu jarum ? siapa penemu sisir ? siapa penemu tusuk gigi ? siapa penemu sedotan ? siapa penemu karet gelang ? siapa penemu pensil ?


jarum = charles weisenthen
sisir = Arkeolog Persia
tusuk gigi = alexandro Fraco
sedotan = marvin c . ston
karet gelang = septhen perry
pensil = abraham g warner

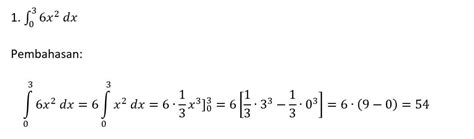
10. Tentukan integral integral tak tentu dari integral 4 xdx


[tex]\int\limits 4 {x} \, dx[/tex]

= [tex]\frac{1}{1+1}.4.x^{2}+C[/tex]

= [tex]\frac{1}{2}.4.x^{2}+C[/tex]

= [tex] 2 x^{2}+C[/tex]

Rumus :

[tex]\int\limits {x^{n}} \, dx[/tex]

= [tex]\frac{1}{n+1}.x^{n+1} + C [/tex]

Mata Pelajaran : Matematika

Kelas : 12

Bab - Integral Tak Tentu

Kata Kunci : Integral Tak Tentu


11. siapa nama penemu kamera, penemu jam, penemu tenaga uap, penemu mesin ketik, penemu/pendiri google, penemu teori atom, penemu mobil, penemu roda


penemu kamera adalah Joseph Niepce
penemu jam adalah Thomas Alva Edison
penemu tenaga uap adalah James Watt
penemu mesin ketik adalah Christopher Sholes
penemu google adalah Larry Page
penemu teori atom adalah  Robert Boyle
penemu roda adalah Monte Carlo


12. penemu telpon:penemu roda:penemu radio:penemu lampu lalu lintas:penemu listrik:penemu kertas:penemu olahraga bulutangkis:penemu kapal ikan bersirip:penemu bus: penemu bel listrik:penemu sepeda ontel:penemu lampu:penemu jam dinding/jam kuno:Jawab Ya teman teman plisss buat bsok​


Jawaban:

penemu radio ; Guglielmo marconi

penemu listrik; michael farady

penemu kertas ; Cai lun

penemu bus ; Gordon bros

penemu lampu lalu lintas ; Garret morgan dan jp knight

penemu bel listrik : Joshep henry

penemu sepeda ontel ; pjerre lallement, john kemp starley

penemu kapal ikan bersirip; Alex kaliwarang warouw masengi

penemu telepon ; Alexender graham bell dan Antonio moucci

penemu jam dinding ; peter henstein

penemu olah raga bulu tangkis ; para tentara Britania raya


13. Mapel IPSSiapakah penemu lampuSiapakah penemu televisiSiapakah penemu pakaian Siapakah penemu listrikSiapakah penemu mejaSiapakah penemu kursiSiapakah penemu gunting Siapakah penemu kertas​


Jawaban:

thomas alva edison

Philo Farnsworth

Nabi Idris as

Michael Faraday

luigi galvani

Alfred Southwick

Leonardo da Vinci

cai lun

Penjelasan:


14. 1. Penemu Heatsink atau PC 2. Penemu RAM 3. Penemu Hard disk 4. Penemu VGA Card 5.Penemu Flasdisk 6. Penemu Monitor 7. Penemu Keyboard 8. Penemu Mouse 9. Penemu Optical Drive 10. Penemu SSD 11. Penemu power suply 12. Penemu LAN CARD 13. Penemu WLAN Card 14. Penemu Sound Card 15. Penemu Printer 16. Penemu Scaner 17. Penemu Speaker 18. Penemu Webcam


Jawaban:

1)Paul E Currezi 2)Robert Dennard 3)Reynold B. Johnson 4)Tidak Tau 5)Dov Moran

Penjelasan:

segitu aja ya soalnya gabut banget ini maaf!!!


15. integral tertentu adalah integral yang​


Penjelasan:

integral yang memiliki nilai batas awal dan batas akhir

Dari Soobon


16. #Quiz+_+_+_+_+_+_+_+_+_+_+_+• Siapa Penemu Telepon ?• Siapa Penemu Televisi ?• Siapa Penemu Mesin Cuci ?• Siapa Penemu Besi ?• Siapa Penemu Kompas ?• Siapa Penemu Kompor ?• Siapa Penemu Emas ?+_+_+_+_+_+_+_+_+_+_+_+​


Jawaban:

1.Penemu Telepon: Alexander Graham Bell

2.Penemu Televisi:John Logie Baird dan

Philo Farnsworth

3.Penemu Mesin Cuci: David Alva Fisher

4.Penemu Besi : Berbagai penemu dalam bidang industri besi dan baja diantaranya sebagai berikut :

1. Abraham Darby

Mengenal Besi dan Baja juga Sejarahnya

Pada tahun 1710 berhasil menggunakan inti batu bara untuk melebur bijih besi.

2. Henry Cort

Mengenal Besi dan Baja juga Sejarahnya

Pada tahun 1870 menemukan cara baru untuk memproduksi plat (lembaran) besi dalam jumlah besar.

3. Henry Bessemer

Pada tahun 1856 memperkenalkan proses mengubah besi mentah menjadi baja.

Kemajuan dan temuan baru tersebut membuat batu bara semakin penting dalam industri besi dan baja.

5.Penemu Kompas: William Thomson

6.Penemu Kompor: Gustaf Dalen

7.Penemu Emas: Emas dikenal antara lain di Mesopotamia dan Mesir. Referensi ke awal mula penemuan emas didasari legendaris atau mitos. Oleh karena itu, beberapa penulis menyebutkan bahwa penemu emas pertama kali adalah Cadmus, bangsa Phoenicia. Sedangkan yang lainnya mengatakan bahwa Thoas, raja Taurian, yang pertama kali menemukan logam berharga dalam legenda Pangaeus Mountains di Thrace. Legenda dan mitos serupa tentang awal penemuan emas juga terdapat dalam sastra kuno dari Hindu ( the Vedas ) serta Cina dan bangsa lainnya...

Penjelasan:

#semoga membantu

#maaf kalau ada yang salah


17. siapa penemu jarum ? siapa penemu sisir ? siapa penemu tusuk gigi ? siapa penemu sedotan ? siapa penemu karet gelang ? siapa penemu pensil ?


penemu jarum jahit =
sisir ditemukan oleh para arkeolog
penemu tusuk gigi = alessandro franco
penemu sedotan = marvin C stone
penemu karet gelang = stephen perry
penemu pensil =

18. Siapa penemu komputerSiapa penemu telegram Siapa penemu telepon siapa penemu radio Siapa penemu handphone ​


Jawaban:

penemu komputer charles babbage

penemu telegram samuel morse

penemu radio guglielmo marconi

penemu handphone martin cooper

Jawaban:

Telepon = Alexander Graham Bell

radio = Guglielmo Marconi

Handphone = Martin Cooper

Komputer = Charles Bagbage

Telegram = samuel F. B morse


19. Siapakah penemu listrik?Siapakah penemu Televisi?Siapakah penemu kuman?Siapakah penemu Kertas?​


penemu listik=Michael Faraday

penemu televisi=philo farnsworth

penemu kuman=Antony van Leeuwenhoek

penemu kertas=Cai Lun

maaf klo slh

Listrik : Michael Faraday

Televisi : John Logie Baird

Kuman : Robert Heinrich Herman Koch

Kertas : Cai Lun(T'sai lun)


20. siapakah penemu lampusiapakah penemu mobilsiapakah penemu teleponsiapakah penemu jamdan siapa penemu kulkas​


Jawaban:

Penemu Lampu:Thomas Alva edison

Penemu mobil:Karl benz

Penemu telepon:Alexander graham bell

Penemu Jam:Peter henlein

Penemu kulkas:William Culen

Penjelasan:

Semoga Membantu#

Jawaban:

Siapaka penemu lampu? Sir Joseph Wilson Swan

Siapaka penemu Mobil? Karl Benz

Siapaka penemu telepon? Alexander Graham Bell

Siapaka penemu jam? Peter Henlein

Penjelasan:

Semoga membantuh

Jadikan jawaban terbaik

#Ayo belajar #


Video Terkait


    Choose :
  • OR
  • To comment
Tidak ada komentar:
Write komentar